website page counter

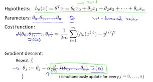
Multiple Linear Regression Hypothesis Example

The best Images

Multiple Linear Regression Hypothesis Example.

Multiple Linear Regression A Quick And Simple Guide
Multiple Linear Regression A Quick And Simple Guide from www.scribbr.com

close